List the Following Compounds in Order of Increasing Acidity
Chemistry questions and answers. Arrange the following compounds in order of increasing acidity and explain the reasons for your choice of ordercyclopentanol phenol p-nitrophenol and 2-chlorocyclopentanol.
Arrange The Following Acids In Order Of Their Increasing Acidity
Click hereto get an answer to your question Arrange the following compounds in order of decreasing acidity.
. Bromoethane 1-bromopropane sodium ethoxide and potassium tert-butoxide. A 032M solution of phenol which is a weak monoprotic acid has app of 522. List the following compounds in order of increasing acid strength.
Rank the following compounds in order of increasing acidity putting the least acidic. The increasing order of acidity is the following. How do I prepare 90 formic acid from conc.
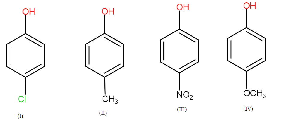
A I IV III II. Join Login Class 12 Chemistry Alcohols Phenols and Ethers Chemical Reactions of Alcohols and Phenols Rank the following compounds in order of. Place all the steps required to calculate the value of Ka for phenol in the correct order.
Which organic reagents would you need to make 2-ethylheptanoic acid from diethyl malonate. CH_3CH_2OH ClCH_2CH_2OH Cl_2CHCH_2OH This order is based on the stability of the corresponding conjugate bases of the mentioned acids. D II IV III I.
01 M formic acid HCOOH 01 M NH43PO4 01 KCl and 01 M glucose solution C6H12O6. The presence of the chlorine atoms in the structure of the acid will stabilize the negative charge on the oxygen of the conjugate base by inductive effect since the chlorine. Answer to List the following compounds in order of increasing acid strength.
List the following compounds in order of increasing electrical conductivity. 01 M formic acid HCOOH 01 M NH43PO4 01 KCl and 01 M glucose solution C6H12O6. Medium 21 Considering only the highlighted hydrogens list the following compounds in order of decreasing acidity.
Answer to List the following compounds in order of increasing acid strength. Solve Study Textbooks Guides. Considering only the highlighted hydrogens list the following compounds in order of increasing acidity.
List the following compounds in the order of increasing acidity. Molecules with electron deficient central atoms. Step-by-step solution 100 5 ratings for this solution.
Click hereto get an answer to your question Rank the following compounds in order of increasing acidity weakest acid first. A A B C D D D C A B B A C B D E A C D B C B C D A. To rank Items as equivalent overlap them.
A List the following compounds in order of increasing acidity List the least acidic first and the most acidic last. Why are they in that order. Why are they in that order.
List the following compounds in order of increasing acidity. 0 0 0 0 п1 IV IIIIIIIVV Ο ΠΝ1111IV O IIIIIVIIV. он OH HO HаCо CI НС Rank compounds from weakest to strongest of acidity.
Molecules that contain a polar multiple bond. By pK a measurements it can be shown that 111-bicyclopentanecarboxylic acid is 10 times more acidic than 22-dimethylpropanoic acid even though both have a quaternary carbon attached to the carboxylic acid group. Rank the following compounds in order of decreasing acidity putting the most acidic.
Arrange the following compounds in increasing order of acidity and give a suitable explanation. Propyne water propene and propane. C II III IV I.
10 Downloaded by Liza Gonashvili email protected. B I III IV II. List the following in order of increasing acidity.
Resolve the force F2 into components acting along the u and v axes and determine the magnitude of the F2u component. Least acidic most acidic b Explain your answer to part a. A List the following compounds in order of increasing acidity List the least acidic first and the most acidic last.
List the following compounds in order of increasing electrical conductivity. Formic acid 98-100 of density 122gml.
Arrange The Following Compounds In Increasing Order Of Their Acid Strength Propan 1 Ol 2 3 6 Trinitrophenol 3 Nitrophenol 3 5 Dinitrophenol Phenol 4 Methyl Phenol
Arrange The Following Compounds In The Increasing Order Of Their Property As Indicated Ch3ch2ch Br Cooh Ch3ch Br Ch2cooh Ch3 2chcooh Ch3ch2ch2cooh Acidic Strength
Solved Rank The Following Compounds In Order Of Increasing Chegg Com
Arrange The Following Compounds In Order Of Decreasing Class 12 Chemistry Cbse
Solved Rank The Following Compounds In Order Of Decreasing Chegg Com
Arrange In Increasing Order Of Acidity
Mark The Correct Order Of Decreasing Acid Strength Of The Following Compounds
Solved Arrange The Compounds In Order Of Increasing Acidity Chegg Com
Acidity And Basicity Of Alcohols Master Organic Chemistry
Rank The Following Compounds In Order Of Increasing Basicity Weakest Rarr Strongest Youtube
5 Key Factors That Influence Acidity In Organic Chemistry
The Correct Order Of Acidity For The Following Compounds Is
5 Key Factors That Influence Acidity In Organic Chemistry
Organic Chemistry Ranking Acidity Youtube
The Correct Order Of Increasing Acidic Strength Is
Arrange The Following Compounds In Order Of Decreasing Acidity Ltimg Youtube
Arrange The Following Compounds In Increasing Order Of Their Acid Strength Propan 1 Ol 2 4 6 T Youtube


Comments
Post a Comment